Christian Lee

Christian Lee headshot

Hello, I'm Christian

I'm a Computer Science major at the University of Georgia with a concentration in IT and cybersecurity. Proficient in programming with Python, Java, C, and C++, and experienced in data analysis and software development. I am currently pursuing CompTIA A+ certification to strengthen technical expertise in hardware and system administration.

• 110 International Drive
• (919) 725-3371
• Christianlee3166@gmail.com


Education

University Of Georgia
Bachelor of Science
Graduation Date: May 2026

Honors and Awards

Dean’s List
2022

Skills

Leadership and Experience

Intern at Sam's Club
2023-2024
Volunteer at Dawgs for the Paws
2023-2025

Projects

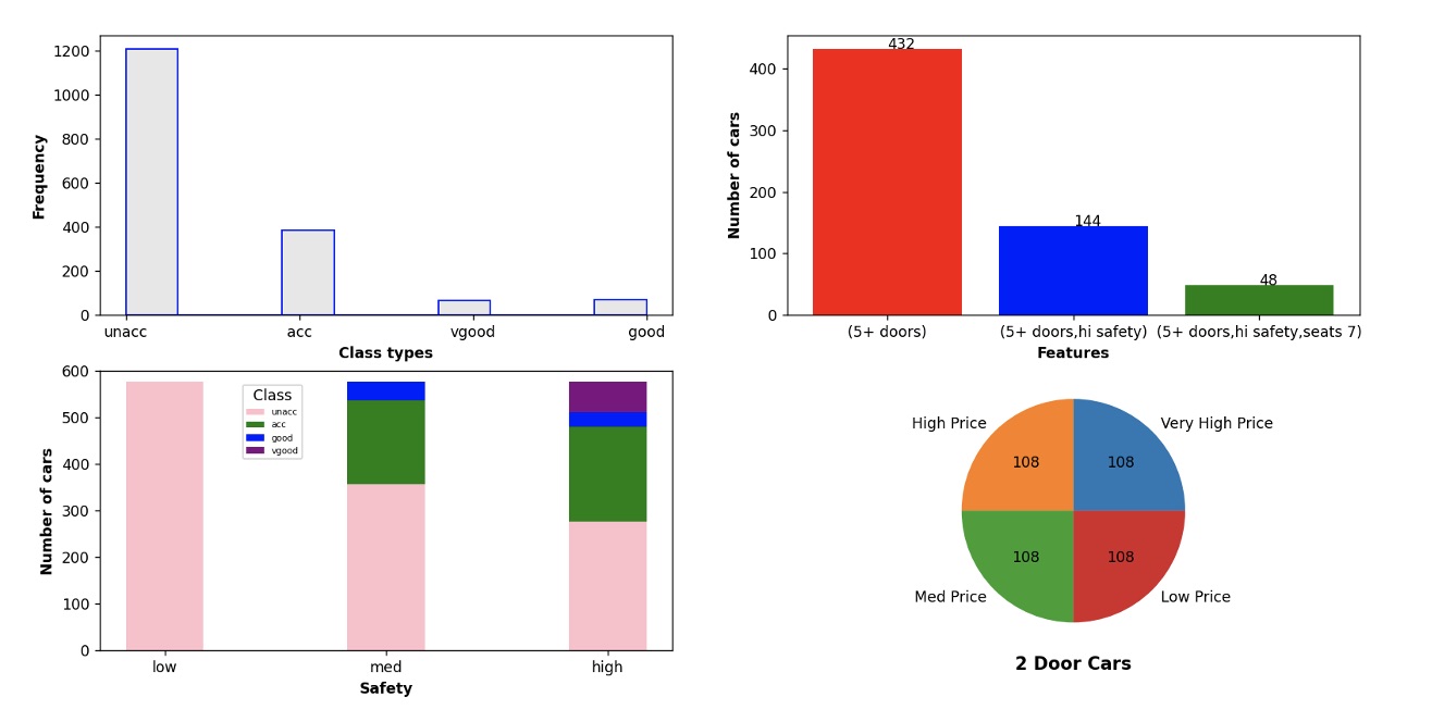
Car Database

Car Database
  • Built in Python and utilizing pandas library
  • Clean, sort, and categorize 1700 csv file of car purchases to find most popular cars and trends of car purchases.

Text Game

Tweet Scanner
  • Built in Java
  • Text based adventure game looking for a treasure chest with dangerous monsters and many locations to explore and interact with.

Debt Calculator

Debt Calculator
  • Built in Java
  • Java program that helped users better understand their debts by calculating a user’s interest, final total, and options for how long to pay off the debt using different payment amounts per month.

Study Spot Finder

Study Spot Finder
  • Built using React and Mongodb and Google Maps API
  • A full stack application helping students find studying spots, with user posted locations with ratings and descriptions and locational based recommendations.